CE 342 Robotics
II HW2
Name: Zane Sauer
Email:
zmsauer@fortlewis.edu
Problem 1.
For each strain guage that is added to the wheatstone bridge the
sensitivity is doubled each time.
Equations
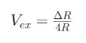
Quater Bridge:

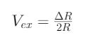
Half Bridge:

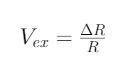
Full Bridge:

Each time that a strain gauge is added it adds another delta R to the
numerator, thus doubling the sensitivity each time.
Problem 2.
Demonstration
of SR04 Distance sensor
Problem 3.
Demonstration
of MPU 6050 Vibration Sensor
Problem 4.
Demonsration
of Wireless Stepper Motor Driver
There was some delay in the steppr motor control. I believe that the
system is sampling data faster than the slave is able to handle it.
This is shown by the little to no delay upon motor start but a large
delay on motor stop. I beleive the solution to this will be to match
data sampling rates or clearing the cache more frequently.