ENGR201 Lab 2021 Fall
Lab 1: Review Superposition, Thevenin's Equivalent Circuit, and LTSpice
Name: Zack Ghalayini
Email: zaghalayini@fortlewis.edu
Introduction
The purpose of this lab was to review superposition and how to write spice code for circuit analysis.
For this lab we used a combination of hand calculations and Ltspice to measure the following networks.
Task 1
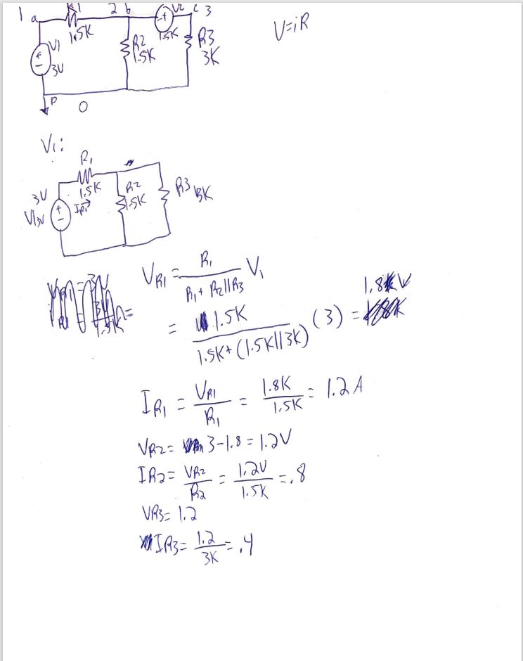
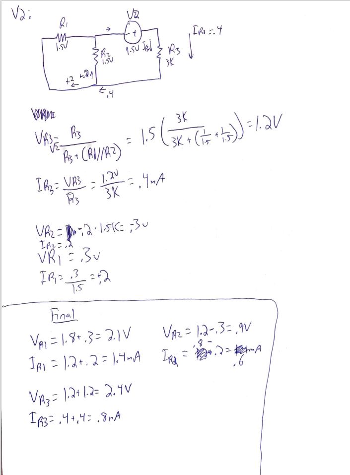
Here are my hand calculations to find the voltage and current for r1,r2, and r3 using super position.


r1
|
2.1V |
1.4mA
|
| r2 |
.9V
|
.6mA
|
| r3 |
2.4V |
.8mA
|
Here is the Ltspice simulation

Figure 1. LTspice code

Figure 2. Vr1 = 3, Vr2 = .9V, Vr3 = 2.4V

Figure 3. Ir1 = 1.4mA, Ir2 = .6mA, Ir3 = .8mA
5. Discussion
The hand calculations and simulation for task 1 are the same.