| Materials |
| 2x
Analog-Digital Converter 0-5V |
| Tektronix Oscilloscope |
| 458nF capacitor |
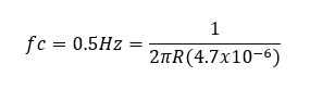
| 4.7uF capacitor |
| 1N4370 zener diode |
| 560Ω resistor |
| 100kΩ resitor |
| 2x 10kΩ resistors |
| 1NA128PA Instrument Amp |
| 741 OpAmp |
| Tektronix Function Generator |








