Lecture
6 More Arrays, Matrices, and Solving Linear Equations
1. Slicing
The rules for slicing are the same as the rules in Matlab:


2. The cube of an array:


3. Reshape
flatten a matrix

Remodify the shape and transpose.

Difference between 'resize()' and 'reshape()': resize will change the
matrix dimension itself, reshape will return you a new one but the
original one doesn't change.


4. Summary
Try
these and make sure you understand.

Try these and make sure you understand.
A[][]
treats the array A as a three-elements list. Each individual list
inside the array is an elements, and they are aligned in one row.
A[ , ] treats the array A as a 3x3 matrix. The indices refer to the row
and the coloumn address.
For example, A[0][0] means the first element in the first sublist in
the 1-row list.



Concatenation of arrays:





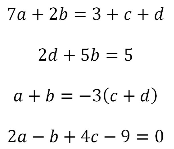
5. Solve linear equations
Look at the following equation set:

We need to convert it into this format first:

Then you will get this:

Compare this figure to the last one, you will find out how to extract
the coefficients from the equation set and use 'Matrix Multiplication'
to represent the linear equation. Remember why we bother ourselves to
convert it in this format??? It was explained in last lecture:
This is
computer friendly! We need to use this format to get Python to
calculate it for us!!!!!
Now, the question is HOW?
Let's do it.
If 'A' is the coefficient matrix, X is the variable column, b is the
constant column, then the matrix multiplication format can be
represented by:
Ax=b
In linear Algebra, the 'Inverse' of a
matrix can be represented by A^(-1), you don't need to know how the
matrix is inversed now. You only need to know the following:
1) A^(-1) * A = I
2) I * A = A
In whcih I is:

It is making sense that I * A is still A based on the matrix
multiplication rules, for example:

Now, one more time:
1)
A^(-1) * A = I
2) I * A = A
If we do this:

Then we can get:
x = A^(-1) * b
Which means we can solve the linear equation by A^(-1) * b.
b is given, A^(-1) is the
inverse matrix of A.
6. Python &
linear algebra
Import the scipy.linalg package to enable the linear
algebra functions.
Calculate the determinant of a matrix:

Inverse a matrix:

Solve a linear equation:
a. Using the scipy.linalg.solve() function to solve for it directly.


b. Inverse the coefficient matrix first:

It is pretty interesting that Python is pretty tolerant on the array's
shape when doing the matrix multiplication:
Surprisingly, the following one also works but the returned solution
has a different shape.

References:
https://docs.scipy.org/doc/numpy/user/quickstart.html
Tasks:
1. Transpose the matrix below.
2. Flatten the matrix created in Task 1.
3. Extract [4,5,6] from the array. (just print it out but not removing
it from the original array)
4. Extract the middle column of the array:

5. Create array A = [1,2,3], B = [[4,5,6], [7,8,9]]. Using A and B to
form C = [[1,2,3],
[4,5,6],
[7,8,9]
]
6. Create
array AA
= [[4,5,6], [7,8,9]], BB = [[0], [0]], using AA and BB to form CC = [[4,5,6,0], [7,8,9,0]]
7. For the
following array AAA:

Access the array using the following command and explain the results
using comments.
AAA[1,1]
AAA[1][1]
AAA[1]
AAA[:, 1]
AAA[:][1]
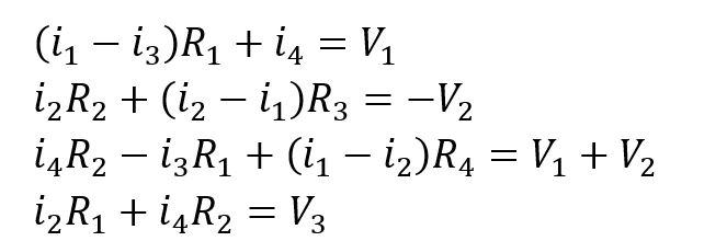
8. The
equations below represent a typical electrical circuit with two voltage
sources
connected to five resistors with three closed loops.

Where:
R1 = 5 ohm;
R2 = 5 ohm; R3
= 10 ohm;
R4 = 12 ohm;
V1 = 4 volts;
V2 = 8 volts; V3=6
volts
Put
the equations into matrix form and solve
for the unknown currents i1
through i4 Create variables for the
known Rs and Vs then
contruct the matrices in terms of those variables.
Send you code in
the '.py' format to the email.